Estimated reading time: 5 minutos
El rojo allura AC, también conocido como FD&C Rojo 40 o E129, es un colorante azoico rojo comúnmente utilizado en alimentos. Fue desarrollado en 1971 por la Allied Chemical Corporation, quien le dio el nombre a la sustancia.
Se suministra usualmente en forma de sal sódica roja, aunque también puede emplearse en sus formas de sal de calcio y potasio. Estas sales son solubles en agua, y en solución su absorbancia máxima se encuentra aproximadamente a 504 nm.
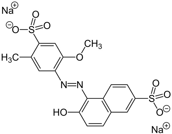
Síntesis del rojo allura AC
El rojo allura AC se fabrica acoplando diazotizado de ácido 5-amino-4-metoxi-2-toluenesulfónico con ácido 6-hidroxi-2-naftalensulfónico en una reacción de acoplamiento azoico:
Uso como agente colorante en alimentos
El rojo allura AC es un colorante ampliamente utilizado a nivel mundial. Su producción anual en 1980 superó los 2.3 millones de kilogramos. Originalmente, se introdujo como sustituto del colorante amaranto en los Estados Unidos.
La Unión Europea aprobó el uso de Rojo allura AC como colorante alimentario en 1994, aunque se mantuvieron leyes locales de los países de la UE que prohibían colorantes alimentarios. En Estados Unidos, Rojo allura AC está aprobado por la FDA para su uso en cosméticos, medicamentos y alimentos.
Cuando se prepara como un pigmento de lago, se designa como Rojo 40 Lake o Rojo 40 Aluminio Lake. Se utiliza en algunos tintes para tatuajes y en muchos productos, como algodón de azúcar, refrescos, productos con sabor a cereza, medicamentos para niños y productos lácteos.
También se emplea ocasionalmente para colorear pastillas medicinales, como el antihistamínico fexofenadina, solo por razones estéticas. Es, de lejos, el colorante rojo más utilizado en los Estados Unidos, reemplazando completamente al amaranto (Rojo 2) y también a la eritrosina (Rojo 3) en la mayoría de las aplicaciones, debido a los efectos negativos sobre la salud de estos dos colorantes.
Estudios sobre seguridad
El rojo allura ha sido ampliamente estudiado por grupos de seguridad alimentaria en América del Norte y Europa, y continúa siendo utilizado ampliamente. Sin embargo, se ha demostrado que la exposición crónica al colorante incrementa la susceptibilidad a trastornos intestinales en ratones. Además, se ha mostrado que el colorante daña el ADN de ratones.
La Agencia de Normas Alimentarias del Reino Unido (FSA) comisionó un estudio sobre seis colorantes alimentarios (tartrazina, Rojo allura, Ponceau 4R, Amarillo Quinolina, amarillo ocaso, carmoisina) y benzoato de sodio (un conservante) en niños de la población general que consumieron estas sustancias en bebidas.
El estudio encontró «una posible relación entre el consumo de estos colorantes artificiales y el conservante benzoato de sodio y un aumento en la hiperactividad» en los niños; el comité asesor de la FSA que evaluó el estudio también determinó que, debido a las limitaciones del estudio, los resultados no podían extrapolarse a la población general y se recomendaban pruebas adicionales.
Regulación
La Autoridad Europea de Seguridad Alimentaria (EFSA), siguiendo un enfoque de principio precautorio más riguroso, exigió etiquetado y redujo temporalmente la ingesta diaria admisible (IDA) para estos colorantes alimentarios; la FSA del Reino Unido solicitó la retirada voluntaria de los colorantes por parte de los fabricantes de alimentos.
Sin embargo, en 2009, la EFSA re-evaluó los datos disponibles y determinó que «la evidencia científica disponible no respalda una relación entre los colorantes y los efectos conductuales», y en 2014, después de una revisión adicional de los datos, la EFSA restauró los niveles previos de IDA. En 2015, la EFSA encontró que las estimaciones de exposición no excedían la IDA de 7 mg/kg por día en ninguna población.
La FDA de Estados Unidos no realizó cambios tras la publicación del estudio de Southampton, pero luego de una petición presentada en 2008 por el Centro para la Ciencia en el Interés Público, solicitando que la FDA prohibiera varios aditivos alimentarios, la FDA inició una revisión de la evidencia disponible, pero no encontró evidencia que justificara cambios.
El rojo allura AC estuvo prohibido previamente en Dinamarca, Bélgica, Francia, Suiza y Suecia. Esto cambió en 2008, cuando la UE adoptó un marco común para la autorización de aditivos alimentarios, bajo el cual el rojo allura AC no está actualmente prohibido.
En Noruega e Islandia, estuvo prohibido entre 1978 y 2001, un período en el que los colorantes azoicos solo se usaban legalmente en bebidas alcohólicas y algunos productos pesqueros.
Para más información ALLURA RED AC
Como citar este artículo:
APA: (2025-12-02). Rojo allura AC. Recuperado de https://quimicafacil.net/compuesto-de-la-semana/rojo-allura-ac/
ACS: . Rojo allura AC. https://quimicafacil.net/compuesto-de-la-semana/rojo-allura-ac/. Fecha de consulta 2026-03-11.
IEEE: , "Rojo allura AC," https://quimicafacil.net/compuesto-de-la-semana/rojo-allura-ac/, fecha de consulta 2026-03-11.
Vancouver: . Rojo allura AC. [Internet]. 2025-12-02 [citado 2026-03-11]. Disponible en: https://quimicafacil.net/compuesto-de-la-semana/rojo-allura-ac/.
MLA: . "Rojo allura AC." https://quimicafacil.net/compuesto-de-la-semana/rojo-allura-ac/. 2025-12-02. Web.
Si tiene alguna pregunta o sugerencia, escribe a administracion@quimicafacil.net, o visita Como citar quimicafacil.net

