Tiempo de lectura estimado: 8 minutos
N,N-Dietil-metatoluamida, también llamada DEET o dietiltoluamida, es el ingrediente activo más común en los repelentes de insectos. Es un aceite ligeramente amarillo destinado a aplicarse en la piel o en la ropa y brinda protección contra mosquitos, moscas, garrapatas, pulgas, chiggers, sanguijuelas y muchos insectos mordedores.
Historia del DEET
DEET fue desarrollado en 1944 por Samuel Gertler del Departamento de Agricultura de los Estados Unidos para su uso por el Ejército de los Estados Unidos, siguiendo su experiencia de guerra de selva durante la Segunda Guerra Mundial. Originalmente se probó como pesticida en campos agrícolas, y entró en uso militar en 1946 y en uso civil en 1957. Se usó en Vietnam y el sudeste de Asia.
En su forma original, conocida como «jugo de insectos», la solución de aplicación estaba compuesta por el 75% de DEET y el 25% de etanol. Más tarde, se desarrolló una nueva versión del repelente por el Ejército de los Estados Unidos y el USDA. Esta formulación consistía en DEET y una mezcla de polímeros que extendían su liberación y reducían su tasa de evaporación. Esta aplicación de liberación prolongada fue registrada por la Agencia de Protección Ambiental en 1991.
El compuesto fue mencionado en la literatura con el nombre «Autan» en relación con procesos de desinfección desde 1907, pero su primera síntesis reportada fue en 1929 por N. N. Máximo en una revista rumana.
El artículo de Máximo no mencionaba el uso del DEET como repelente de insectos; pero en 1954, E. T. McCabe y sus colegas en el Departamento de Agricultura de los EE. UU. (Beltsville, MD) informaron la preparación de 33 dietilamidas de ácidos aromáticos y concluyeron: «Los repelentes de mosquitos más prometedores de esta serie se derivan de los ácidos benzoicos sustituidos en el anillo». -incluyendo
El DEET ha sido usado efectiva y, en su mayor parte, segura durante más de 60 años. Pero, como muestra en la tabla de información de peligros, puede causar algunos problemas en la piel y tiene preocupaciones ambientales. Solo se han reportado casos raros de toxicidad o reacciones cutáneas graves de DEET.
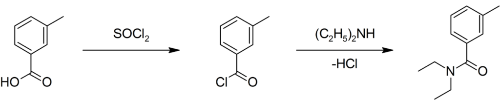
Síntesis del DEET
El DEET es un líquido ligeramente amarillo a temperatura ambiente, se puede preparar convirtiendo el ácido m-toluico (ácido 3-metilbenzoico) al cloruro de acilo correspondiente usando cloruro de tioilo (SOCl2), y luego permitiendo que ese producto reaccione con dietilamina:
Uso comercial del DEET
La concentración de DEET en los productos puede variar desde menos del 10 por ciento hasta casi el 100 por ciento. Se recomiendan concentraciones de 10 a 30 por ciento para bebés y niños. El DEET no debe usarse en niños menores de 2 meses de edad.
DEET suele venderse y usarse en aerosol o loción en concentraciones de hasta el 100%. Consumer Reports encontró una correlación directa entre la concentración de DEET y las horas de protección contra las picaduras de insectos. Se encontró que el 100% DEET ofrecía hasta 12 horas de protección mientras que varias formulaciones de DEET de baja concentración (20-34%) ofrecían 3-6 horas de protección. Otra investigación ha corroborado la eficacia del DEET. Los Centros para el Control y la Prevención de Enfermedades recomiendan el 30-50% DEET para prevenir la propagación de los patógenos transmitidos por los insectos.
Un estudio de 2008 encontró que las concentraciones más altas de DEET tienen una mejor capacidad para repeler insectos a través de la tela.
Efectos tóxicos
Como precaución, los fabricantes aconsejan que los productos de DEET no deben usarse debajo de la ropa o en piel dañada, y que las aplicaciones se laven cuando ya no sean necesarias o entre aplicaciones. El DEET puede actuar como irritante; en casos excepcionales, puede causar reacciones epidermales severas. Otros síntomas que pueden ocurrir son dificultad para respirar, ojos quemados o dolores de cabeza.
Cuando se usa DEET en combinación con insecticidas para cucarachas, puede fortalecer la toxicidad del carbamato, un inhibidor de la acetilcolinesterasa. Estos hallazgos de 1996 indican que el DEET tiene efectos neurológicos en los insectos además de los efectos olfativos conocidos, y que su toxicidad se fortalece en combinación con otros insecticidas. [17]
En la Decisión de elegibilidad de reregistro de DEET (RED) en 1998, la Agencia de Protección Ambiental de los Estados Unidos (EPA) informó de 14 a 46 casos de posibles convulsiones asociadas con DEET, incluyendo cuatro muertes. La EPA afirmó que parece que algunos casos son probablemente relacionados con la toxicidad de DEET, lo que puede subestimar el riesgo ya que los médicos pueden no comprobar el historial de uso de DEET o no informar casos de convulsiones posteriores al uso de DEET.
En 1997, el Proyecto de Información de Pesticidas de Oficinas de Extensión Cooperativa de la Universidad de Cornell afirmó que «los empleados del Parque Nacional de los Everglades que tenían una exposición extensa a DEET eran más propensos a tener insomnio, trastornos del estado de ánimo y disfunción cognitiva que sus compañeros con menor exposición».
Cuando se usa según las indicaciones, los productos que contienen entre el 10% y el 30% de DEET han sido encontrados por la Academia Americana de Pediatría seguros para usar en niños, así como en adultos, pero la Academia recomienda que el DEET no se use en bebés menores de dos meses.
Citando razones para la salud humana, Salud Canadá prohibió la venta de repelentes de insectos para uso humano que contenían más del 30% de DEET en una reevaluación de 2002 «basada en una evaluación de riesgo para la salud humana que consideró la aplicación diaria de DEET durante un período prolongado de tiempo». La agencia recomendó que los productos a base de DEET se usen en niños entre 2 y 12 años solo si la concentración de DEET es del 10% o menos y que los repelentes se apliquen no más de 3 veces al día, los niños menores de 2 años no deben recibir más de 1 aplicación de repelente al día y los productos a base de DEET de cualquier concentración no deben usarse en bebés menores de 6 meses. Algunos expertos recomiendan contra la aplicación de DEET y protector solar simultáneamente ya que esto aumentaría la penetración de DEET; Xiaochen Gu, profesor en la Facultad de Farmacia de la Universidad de Manitoba que dirigió un estudio sobre mosquitos, aconseja que el DEET se aplique 30 o más minutos más tarde.
El DEET en el cuerpo humano
El DEET se puede medir en sangre, plasma o orina por cromatografía de gas o cromatografía líquida-espectrometría de masas para confirmar un diagnóstico de envenenamiento en pacientes hospitalizados o para proporcionar evidencia en una investigación de muerte medicolegal. Se espera que las concentraciones de DEET en sangre o plasma estén en un rango de 0,3-3,0 mg / L durante las primeras 8 horas después de la aplicación cutánea en personas que usan el producto adecuadamente,> 6 mg / L en pacientes intoxicados y> 100 mg / L en víctimas de una sobredosis oral aguda intencional.
Impacto ambiental
Aunque no se espera que el DEET se bioacumule, se ha encontrado que tiene una ligera toxicidad para los peces de agua dulce como la trucha arcoíris y la tilapia, y también se ha demostrado que es tóxico para algunas especies de zooplancton de agua dulce. El DEET se ha detectado en concentraciones bajas en cuerpos de agua como resultado de la producción y el uso, como en el río Mississippi y sus tributarios, donde un estudio de 1991 detectó niveles que variaban de 5 a 201 ng / L.
Un estudio de 1975 analizó los efectos del DEET en las comunidades de organismos de agua dulce nativos de los cauces chinos y encontró que, en comparación con otros repelentes de insectos comerciales, el DEET era moderadamente tóxico para los organismos acuáticos. Los organismos más expuestos al riesgo fueron las colonias de algas que a menudo experimentaban «declives importantes en la biomasa y cambios en la composición de la comunidad» cuando se exponían al DEET a 500 ng / L.
Para más información The enigmatic reception of DEET – the gold standard of insect repellents
Como citar este artículo:
APA: (2023-05-02). DEET. Recuperado de https://quimicafacil.net/compuesto-de-la-semana/deet/
ACS: . DEET. https://quimicafacil.net/compuesto-de-la-semana/deet/. Fecha de consulta 2026-02-17.
IEEE: , "DEET," https://quimicafacil.net/compuesto-de-la-semana/deet/, fecha de consulta 2026-02-17.
Vancouver: . DEET. [Internet]. 2023-05-02 [citado 2026-02-17]. Disponible en: https://quimicafacil.net/compuesto-de-la-semana/deet/.
MLA: . "DEET." https://quimicafacil.net/compuesto-de-la-semana/deet/. 2023-05-02. Web.
Si tiene alguna pregunta o sugerencia, escribe a administracion@quimicafacil.net, o visita Como citar quimicafacil.net


