Tiempo de lectura estimado: 12 minutos
La vanilina (4-hidroxi-3-metoxibenzaldehído, FEMA 3107) es el principal agente aromatizante de los frutos de la especia vainilla (Vanilla planifolia), así como un agente aromatizante idéntico al natural. El compuesto químico orgánico de fórmula molecular C8H8O3 es un derivado del benzaldehído con un grupo hidroxi y otro metoxi adicionales. Recibe múltiples nombres con ligeras variaciones como vanillina, vainillina, metil vanilina, metil vanillina, metil vainillina o 4-hidroxi-3-metoxibenzaldehído
La vainillina es el principal componente del extracto de vainilla natural, una mezcla de varios cientos de compuestos diferentes. La vainillina se aisló a partir de este producto natural bastante raro ya a mediados del siglo XIX, y la primera síntesis a partir de la sustancia natural coniferina se logró en 1874. Los primeros procesos de producción comercial de vainillina se iniciaron posteriormente a partir del eugenol.
En la actualidad, la vanilina se sintetiza de forma económica como un idéntico natural del guayacol o se obtiene a partir de la lignina, un componente de la madera y el subproducto más común de la producción industrial de pasta de papel. La vainillina de la lignina también contribuye al olor típico del papel viejo. Además, entretanto se han establecido varios procesos biotecnológicos cuyos productos pueden declararse como «naturales».
La vainillina es la sustancia aromatizante más importante del mundo en términos de cantidad, y además se puede producir de forma barata. Se utiliza en alimentos, bebidas, helados, productos de panadería y chocolate, así como en las industrias de perfumería y farmacéutica.
Historia de la vanilina y la vainilla
Las pruebas más antiguas de la explotación de la vainilla en el Viejo Mundo datan del segundo milenio a.C.
Hoy en día, la vainilla es un saborizante común. Pero durante siglos, la vainilla fue un sabor raro del Nuevo Mundo que disfrutaban principalmente las élites europeas. Eso cambió en 1841 gracias a un niño de 12 años que manejaba una pequeña vara.
Edmond Albius era un trabajador esclavizado en la colonia francesa de la Reunión que, tras inspeccionar de cerca la orquídea de vainilla Vanilla planifolia, descubrió cómo polinizar a mano su flor para producir vainas de vainilla.
Albius utilizó el palo para empujar hacia arriba una solapa de la flor de la orquídea llamada rostellum y presionar la antera recubierta de polen contra la parte femenina, o estigma. Hasta el descubrimiento de Albius, la vainilla sólo se había cultivado con éxito en el sureste de México, donde se encuentra su polinizador, la abeja Melipona. Fue allí donde el explorador español Hernán Cortés vio al emperador azteca Moctezuma tomando una bebida de chocolate con sabor a vainilla.
En Reunión, la producción de vainilla se disparó gracias al método Albius, y el cultivo de orquídeas se extendió a la cercana Madagascar. En la actualidad, cerca del 80% de la vainilla natural del mundo procede de pequeñas explotaciones de Madagascar. Allí, los lugareños siguen polinizando las orquídeas a mano y curando las vainas de forma tradicional.
Aislamiento y química
La demanda de vainilla no tardó en superar la oferta de las granjas de Madagascar. En los años 1800 y 1900, los químicos tomaron el relevo de los botánicos para ampliar la oferta de este sabor. La vainillina, el principal componente aromático de las vainas de vainilla curadas, se sintetizó de diversas formas a partir de la corteza de pino, el aceite de clavo, el salvado de arroz y la lignina.
La vainillina fue aislada por primera vez como sustancia relativamente pura en 1858 por Nicolas-Theodore Gobley, que la obtuvo evaporando un extracto de vainilla hasta su sequedad y recristalizando los sólidos resultantes en agua caliente. En 1874, los científicos alemanes Ferdinand Tiemann y Wilhelm Haarmann dedujeron su estructura química y, al mismo tiempo, encontraron una síntesis de la vainillina a partir de la coniferina, un glucósido del isoeugenol que se encuentra en la corteza de los pinos. Tiemann y Haarmann fundaron la empresa Haarmann y Reimer (que ahora forma parte de Symrise) e iniciaron la primera producción industrial de vainillina mediante su proceso en Holzminden, Alemania.
En 1876, Karl Reimer sintetizó por primera vez la vainillina (2) a partir del guayacol (1). Esta síntesis que posteriormente se denominó reacción de Reimer-Tiemann, el guayacol se hace reaccionar con el cloroformo en un medio alcalino. En el proceso, el cloroformo reacciona primero con la base para formar diclorocarbeno. Esto se une al anión fenolato del guayacol.
A finales del siglo XIX, la vainillina semisintética derivada del eugenol que se encuentra en el aceite de clavo estaba disponible comercialmente.
La vanilina sintética se hizo mucho más accesible en la década de 1930, cuando la producción a partir del aceite de clavo fue sustituida por la producción a partir de los residuos que contienen lignina producidos por el proceso de fabricación de pulpa de sulfito para preparar la pulpa de madera para la industria del papel.
En 1981, una sola fábrica de pasta y papel de Thorold (Ontario) suministraba el 60% del mercado mundial de vainillina sintética. Sin embargo, la evolución posterior de la industria de la pasta de madera ha hecho que sus residuos de lignina sean menos atractivos como materia prima para la síntesis de vanilina. Hoy en día, aproximadamente el 15% de la producción mundial de vainillina sigue haciéndose a partir de residuos de lignina, mientras que aproximadamente el 85% se sintetiza en un proceso de dos etapas a partir de los precursores petroquímicos guayacol y ácido glioxílico.
A partir del año 2000, Rhodia comenzó a comercializar vanilina biosintética preparada por la acción de microorganismos sobre el ácido ferúlico extraído del salvado de arroz. A un precio de 700 dólares/kg, este producto, que se vende bajo la marca Rhovanil Natural, no es competitivo en cuanto a costes con la vainillina petroquímica, que se vende a unos 15 dólares/kg.
Química de la vanilina
Extracción natural
La vainillina natural se extrae de las vainas de la Vainilla planifolia, una orquídea enredadera originaria de México, pero que ahora se cultiva en zonas tropicales de todo el mundo. Madagascar es actualmente el mayor productor de vainillina natural.
Las vainas verdes, tal como se cosechan, contienen vainillina en forma de β-D-glucósido; las vainas verdes no tienen el sabor ni el olor de la vainilla.
Una vez cosechadas, su sabor se desarrolla mediante un proceso de curado de meses de duración, cuyos detalles varían según las regiones productoras de vainilla, pero que, a grandes rasgos, procede como sigue:
En primer lugar, las vainas se escaldan en agua caliente para detener los procesos de los tejidos vegetales vivos. A continuación, durante 1 ó 2 semanas, las vainas se exponen al sol y se transpiran alternativamente: durante el día se exponen al sol, y cada noche se envuelven en una tela y se meten en cajas herméticas para que transpiren. Durante este proceso, las vainas se vuelven de color marrón oscuro, y las enzimas de la vaina liberan vainillina como molécula libre. Por último, las vainas se secan y se envejecen durante varios meses, durante los cuales sus sabores se desarrollan aún más. Se han descrito varios métodos para curar la vainilla en días y no en meses, aunque no se han desarrollado mucho en la industria de la vainilla natural, centrada en la producción de un producto de primera calidad mediante métodos establecidos, más que en innovaciones que puedan alterar el perfil de sabor del producto.
Síntesis
La demanda de aromatizantes de vainilla ha superado durante mucho tiempo la oferta de vainas de vainilla. En 2001, la demanda anual de vanilina era de 12.000 toneladas, pero sólo se producían 1.800 toneladas de vainillina natural. El resto se producía por síntesis química.
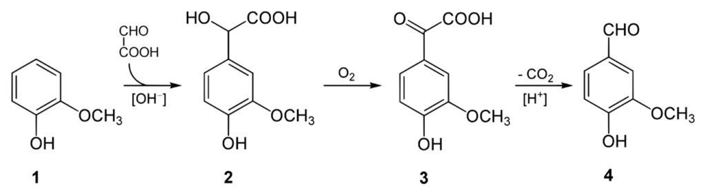
La vainillina se sintetizó por primera vez a partir del eugenol (presente en el aceite de clavo) en 1874-75, menos de 20 años después de su identificación y aislamiento. La vainillina se produjo comercialmente a partir del eugenol hasta los años 20 del siglo pasado. Más tarde, se sintetizó a partir del «licor marrón» que contiene lignina, un subproducto del proceso de sulfitación para la fabricación de pasta de madera. Contrariamente a lo que parece, aunque utiliza materiales de desecho, el proceso de la lignina ya no es popular debido a la preocupación por el medio ambiente, y hoy en día la mayor parte de la vainillina se produce a partir de guaiacol, una materia prima petroquímica. Existen varias rutas para sintetizar la vainillina a partir del guaiacol.
En la actualidad, la más importante es el proceso de dos pasos practicado por Rhodia desde los años 70, en el que el guaiacol (1) reacciona con el ácido glioxílico por sustitución aromática electrofílica. El ácido vanililmandélico (2) resultante se convierte en vainillina (4) por descarboxilación oxidativa mediante el ácido 4-hidroxi-3-metoxifenilglioxílico (3).
El 15% de la producción mundial de vainillina se produce a partir de lignosulfonatos, un subproducto de la fabricación de celulosa mediante el proceso del sulfito. El único productor de vanilina de madera es la empresa Borregaard, situada en Sarpsborg, Noruega.
La vainillina de madera se produce mediante la oxidación catalizada por cobre de las estructuras de lignina en los lignosulfonatos en condiciones alcalinas y, según la empresa fabricante, es la preferida por sus clientes debido, entre otras razones, a su huella de carbono mucho menor que la de la vanilina sintetizada petroquímicamente.
Usos y curiosidades
El mayor uso de la vanilina es como aromatizante, normalmente en alimentos dulces. Las industrias del helado y el chocolate representan conjuntamente el 75% del mercado de la vainillina como aromatizante, mientras que se utilizan cantidades menores en productos de confitería y panadería.
La vainillina también se utiliza en la industria de las fragancias, en los perfumes, y para enmascarar olores o sabores desagradables en medicamentos, piensos para el ganado y productos de limpieza. También se utiliza en la industria de los aromas, como una nota clave muy importante para muchos sabores diferentes, especialmente los perfiles cremosos como la crema de soda.
Además, la vanilina puede utilizarse como tinte de uso general para visualizar manchas en placas de cromatografía de capa fina. Esta tinción produce una gama de colores para estos diferentes componentes.
La tinción de vainillina-HCl puede utilizarse para visualizar la localización de los taninos en las células.
La vainillina se ha utilizado como producto químico intermedio en la producción de productos farmacéuticos, cosméticos y otros productos químicos finos. En 1970, más de la mitad de la producción mundial de vanilina se utilizaba en la síntesis de otros productos químicos. A partir de 2016, los usos de la vainillina se han ampliado para incluir los perfumes, la aromatización y el enmascaramiento aromático en los medicamentos, varios productos de consumo y de limpieza y los alimentos para el ganado.
La vainillina puede desencadenar migrañas en una pequeña parte de las personas que las padecen.
Algunas personas tienen reacciones alérgicas a la vainilla. Pueden ser alérgicas a la vainilla sintética pero no a la natural, o al revés, o a ambas.
Las plantas de orquídeas de vainilla pueden desencadenar una dermatitis de contacto, especialmente entre las personas que trabajan en el comercio de la vainilla si entran en contacto con la savia de las plantas. Una dermatitis alérgica de contacto llamada vainillismo produce hinchazón y enrojecimiento, y a veces otros síntomas. La savia de la mayoría de las especies de orquídeas de vainilla que exuda de los tallos cortados o donde se cosechan las vainas puede causar una dermatitis de moderada a grave si entra en contacto con la piel desnuda. La savia de las orquídeas de vainilla contiene cristales de oxalato de calcio, que se cree que es el principal agente causante de la dermatitis de contacto en los trabajadores de las plantaciones de vainilla.
Una pseudofitodermatitis llamada liquen de la vainilla puede estar causada por pequeños ácaros.
Vainillina en la perfumería
Dos perfumes clásicos de Guerlain utilizan moléculas de vainillina como elementos clave. En 1889, Aimé Guerlain creó Jicky, que más de un siglo después sigue siendo sorprendentemente contemporáneo. A menudo se dice que es el primer perfume «moderno» que utiliza ingredientes sintéticos. El impacto inicial lo proporcionan las notas de salida de lavanda, limón y bergamota, seguidas de un medio igualmente frío y rosado, apoyado por una base cálida de ámbar, almizcle y, sobre todo, vainilla («un ballet olfactif«).
El sobrino de Aimé Guerlain, Jacques, fue el responsable de Shalimar en 1925 (llamado así por el jardín que el emperador mogol Shah Jahan creó para su esposa). Se dice que añadió etil vainillina sintética a una muestra de Jicky. La etil vainillina, que no se da en la naturaleza, tiene un olor a vainilla mucho más fuerte que su análogo metílico, la propia vainillina. El umbral de olor de la etilvainillina es de 0,000007 mg/m3 de aire, en comparación con el valor de la vanilina en el rango de 0,005 – 0,000001 mg/m3 de aire. En Shalimar, el impacto del limón y la bergamota presagia de nuevo el pasaje floral del medio (rosa, jazmín) contra una base cálida de vainilla. El resultado es muy sensual.
Para más información The Problem with Vanilla
Como citar este artículo:
APA: (2022-09-27). Vanilina. Recuperado de https://quimicafacil.net/compuesto-de-la-semana/vanilina/
ACS: . Vanilina. https://quimicafacil.net/compuesto-de-la-semana/vanilina/. Fecha de consulta 2026-03-12.
IEEE: , "Vanilina," https://quimicafacil.net/compuesto-de-la-semana/vanilina/, fecha de consulta 2026-03-12.
Vancouver: . Vanilina. [Internet]. 2022-09-27 [citado 2026-03-12]. Disponible en: https://quimicafacil.net/compuesto-de-la-semana/vanilina/.
MLA: . "Vanilina." https://quimicafacil.net/compuesto-de-la-semana/vanilina/. 2022-09-27. Web.
Si tiene alguna pregunta o sugerencia, escribe a administracion@quimicafacil.net, o visita Como citar quimicafacil.net





