Tiempo de lectura estimado: 9 minutos
Los NanoPutienses o NanoPutianos son una serie de moléculas orgánicas cuyas fórmulas estructurales se asemejan a las formas humanas. James Tour y colaboradores en la Universidad de Rice diseñaron y sintetizaron estos compuestos en 2003 como parte de una secuencia sobre educación química para jóvenes estudiantes.
Los compuestos están formados por dos anillos de benceno conectados a través de unos pocos átomos de carbono como cuerpo, cuatro unidades de acetileno cada una con un grupo alquilo en sus extremos que representa las manos y las piernas, y un anillo de 1,3-dioxolano como cabeza. Tour y su equipo de la Universidad de Rice utilizaron los NanoPutienses en su programa de divulgación educativa NanoKids. El objetivo de este programa era educar a los niños en las ciencias de una manera eficaz y divertida. Han realizado varios vídeos en los que aparecen los NanoPutienses como personajes animados antropomórficos.
La construcción de las estructuras depende del acoplamiento Sonogashira y de otras técnicas sintéticas. Sustituyendo el grupo 1,3-dioxolano por una estructura de anillo adecuada, se han sintetizado otros tipos de NanoPutienses, por ejemplo, NanoAtleta, NanoPilgrim (Nano peregrino) y NanoGreenBeret (Nano boina verde. La colocación de grupos funcionales tiol (R-SH) en el extremo de las patas les permite «pararse» sobre una superficie de oro.
«NanoPutian» es un portmanteau de nanómetro, una unidad de longitud comúnmente utilizada para medir longitudes muy pequeñas como enlaces y moleculas, y liliputiense, una raza ficticia de humanos en la novela Los viajes de Gulliver de Jonathan Swift.
Orígenes
Programa de divulgación educativa NanoKids
Aunque no hay usos químicos o prácticos para la molécula NanoKid o cualquiera de sus derivados conocidos fuera de las aulas, James Tour ha convertido al NanoKid en un personaje realista para educar a los niños en las ciencias. Los objetivos del programa de divulgación, tal y como se describe en la página web de NanoKids, son:
- «Aumentar significativamente la comprensión de los estudiantes de química, física, biología y ciencia de los materiales a nivel molecular».
- «Proporcionar a los profesores herramientas conceptuales para enseñar la ciencia a nanoescala y la tecnología molecular emergente».
- «Demostrar que el arte y la ciencia pueden combinarse para facilitar el aprendizaje de estudiantes con diversos estilos de aprendizaje e intereses».
- «Generar un interés informado por la nanotecnología que fomente la participación y la financiación de la investigación en este campo».
Para lograr estos objetivos, se crearon varios videoclips, CDs, así como programas informáticos interactivos. Tour y su equipo invirtieron más de 250.000 dólares en su proyecto. Para recaudar los fondos necesarios para este proyecto, Tour utilizó fondos no restringidos de su cátedra y pequeñas subvenciones de la Universidad de Rice, la Fundación Welch, la empresa de nanotecnología Zyvex y la Universidad de Texas A&M. Tour también recibió 100.000 dólares en 2002 del programa Small Grants for Exploratory Research, una división de la National Science Foundation.
Los protagonistas de los vídeos son versiones animadas del NanoKid. Protagonizan varios vídeos y explican diversos conceptos científicos, como la tabla periódica, el ADN y el enlace covalente.
Rice realizó varios estudios sobre la eficacia del uso de los materiales NanoKids. Estos estudios encontraron resultados mayoritariamente positivos para el uso de los NanoKids en el aula. Un estudio realizado entre 2004 y 2005 en dos distritos escolares de Ohio y Kentucky descubrió que el uso de los NanoKids conducía a un aumento del 10 al 59% en la comprensión del material presentado. Además, se descubrió que el 82% de los estudiantes consideraban que los NanoKids hacían más interesante el aprendizaje de las ciencias.
Síntesis de NanoPutienses
Parte superior del cuerpo de NanoKid
Para crear el primer NanoPutiano, apodado NanoKid, se yodó el 1,4-dibromobenceno en ácido sulfúrico. A este producto se le añadieron los «brazos», o 3,3-dimetilbutileno, mediante el acoplamiento Sonogashira. La formilación de esta estructura se logró entonces mediante el uso del reactivo de organolitio n-butilitio, seguido de un enfriamiento con N,N-dimetilformamida (DMF) para crear el aldehído. A esta estructura se le añadió 1,2-etanodiol para proteger el aldehído utilizando ácido p-toluenosulfónico como catalizador.
Originalmente, Chanteau y Tour intentaron acoplar esta estructura con alquinos, pero esto dio lugar a rendimientos muy bajos de los productos deseados. Para remediarlo, sustituyeron el bromuro por el yoduro mediante el intercambio de litio-halógeno y el enfriamiento con 1,2-diyodoetano. Así se creó la estructura final del cuerpo superior del NanoKid.
Parte inferior del cuerpo de NanoKid
La síntesis del cuerpo inferior del NanoPutiano comienza con la nitroanilina como material de partida. La adición de Br2 en ácido acético coloca dos equivalentes de bromo en el anillo de benceno.
El NH2 es un grupo donador de electrones, y el NO2 es un grupo retirador de electrones, y ambos dirigen la bromación a la posición meta en relación con el sustituyente NO2. La adición de NaNO2, H2SO4 y EtOH elimina el sustituyente NH2. El ácido de Lewis SnCl2, un agente reductor en el disolvente THF/EtOH, sustituye el NO2 por el NH2, que posteriormente es sustituido por el yodo tras la adición de NaNO2, H2SO4 y KI para producir 3,5-dibromoyobenceno.
En este paso, la reacción de Sandmeyer convierte el grupo amino primario (NH2) en un grupo saliente de diazonio (N2), que posteriormente se sustituye por yodo. El yodo sirve como un excelente socio de acoplamiento para la unión de las patas, que se ejecuta a través del acoplamiento de Sonogashira con trimetilsilacetileno para producir 3,5-dibromo(trimetilsilletinil)benceno.
La unión de las piernas sustituye los sustituyentes Br por 1-pentina mediante otro acoplamiento de Sonogashira para producir 3,5-(1′-Pentinil)-1-(trimetilsililetinil) benceno. Para completar la síntesis del cuerpo inferior, el grupo protector TMS se elimina por desprotección selectiva mediante la adición de K2CO3, MeOH y CH2Cl2 para producir 3,5-(1′-Pentinil)-1-etinilbenceno.
Acoplamiento
Para unir el cuerpo superior del NanoKid al cuerpo inferior, se añaden los dos componentes a una solución de dicloruro de bis(trifenilfosfina)paladio(II), yoduro de cobre(I), TEA y THF. El resultado es la estructura final del NanoKid.
Derivados del NanoKid
Síntesis de NanoProfesionales
Los NanoProfesionales tienen estructuras moleculares alternativas para la parte superior de la cabeza, y eventualmente incluyen un sombrero. La mayoría pueden sintetizarse a partir del NanoKid mediante una reacción de intercambio de acetal con el 1,2- o 1,3- diol deseado, utilizando ácido p-toluenosulfónico como catalizador y calentándolo mediante irradiación de microondas durante unos minutos.
El conjunto final de productos fue una población reconociblemente diversa de NanoPutienses: NanoAtleta, NanoPeregrino, NanoboinaVerde, Nanobufón, NanoMonarca, NanoTexano, NanoEscuela, NanoPanadero y NanoChef.
La mayoría de las figuras son fácilmente reconocibles en su conformación más estable. Unas pocas tienen como conformación estable una forma menos reconocible, por lo que a menudo se dibujan de la forma más reconocible pero menos estable. Se han tomado muchas libertades en la representación visual de los adornos de la cabeza de los NanoPutienses. Algunos productos se forman como una mezcla de diastereómeros: la configuración del «cuello» comparada con partes del «sombrero».
Síntesis del NanoKid de forma vertical
El 3-Butyn-1-ol se hizo reaccionar con cloruro de metanosulfonilo y trietanolamina para producir su mesilato. El mesilato se desplazó para hacer tiolacetato. El tiol se acopló con 3,5-dibromo(trimetilsililetil)benceno para crear un alquino libre. Al producto resultante, 3,5-(4′-tiolacetil-1′-butinilo)-1-(trimetilsililetil)-benceno, se le eliminó el grupo trimetilsililo utilizando fluoruro de tetra-n-butilamonio (TBAF) y AcOH/Ac2O en THF. El alquino libre se acopló entonces con el producto del cuerpo superior de la síntesis anterior. El resultado fue un NanoKid con pies de tiol protegidos.
Para hacer que el NanoKid se mantuviera en pie, se eliminaron los grupos protectores acetilos mediante el uso de hidróxido de amonio en THF para crear los tioles libres. A continuación, se sumergió un sustrato chapado en oro en la solución y se incubó durante cuatro días. Se utilizó elipsometría para determinar el espesor resultante del compuesto, y se determinó que el NanoKid estaba en posición vertical sobre el sustrato.
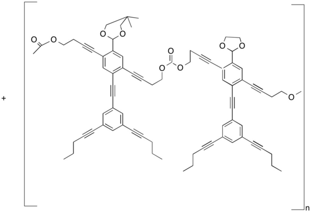
Síntesis de cadenas NanoPutienses
La síntesis de la parte superior de la cadena de NanoPutienses comienza con 1,3-dibromo-2,4-diiodobenceno como material de partida. El acoplamiento de Sonogashira con 4-oxitrimetilsililbut-1-ino produce 2,5-bis(4-tert-butildimetilsiloxi-1′-butinilo)-1,4-di-bromobenceno.
Uno de los sustituyentes de bromo se convierte en un aldehído mediante una reacción SN2 con la base fuerte, n-BuLi, y THF en el disolvente polar aprótico, DMF, para producir 2,5-bis(4-tert-butildimetilsiloxi-1′-butil)-4-bromobenzaldehído. Otro acoplamiento de Sonogashira con 3,5-(1′-Pentinil)-1-etinilbenceno une el cuerpo inferior del NanoPutiano. La conversión del grupo aldehído en una «cabeza» de diéter se produce en dos pasos. El primer paso implica la adición de etilenglicol y cloruro de trimetilsililo (TMSCl) en disolvente CH2Cl2. La adición de TBAF en disolvente THF elimina el grupo protector sililo.
Para más información ‘nanokids’ try to get into middle school
Como citar este artículo:
APA: (2022-05-03). NanoPutienses. Recuperado de https://quimicafacil.net/compuesto-de-la-semana/nanoputienses/
ACS: . NanoPutienses. https://quimicafacil.net/compuesto-de-la-semana/nanoputienses/. Fecha de consulta 2026-01-24.
IEEE: , "NanoPutienses," https://quimicafacil.net/compuesto-de-la-semana/nanoputienses/, fecha de consulta 2026-01-24.
Vancouver: . NanoPutienses. [Internet]. 2022-05-03 [citado 2026-01-24]. Disponible en: https://quimicafacil.net/compuesto-de-la-semana/nanoputienses/.
MLA: . "NanoPutienses." https://quimicafacil.net/compuesto-de-la-semana/nanoputienses/. 2022-05-03. Web.
Si tiene alguna pregunta o sugerencia, escribe a administracion@quimicafacil.net, o visita Como citar quimicafacil.net






